延長焦點深度繞射元件,可輕易解決這樣的問題,在指定的雷射條件下(光束直徑、輸出模態與光束品質M2值),通過延長焦深繞射片,再以透鏡聚焦,即可在幾乎不影響繞射極限的焦點大小下,延長焦點深度,非常助益於雷射對透明材料(如玻璃、矽)的加工如切割、鑽孔與高解析顯微鏡與深度生醫檢測的應用。
繞射極限焦點(Diffraction Limited Spot Size)公式:

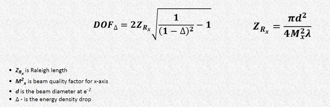
聚焦深度(Depth of Focus)公式:


以Fused Silica或ZnSe為基材,蝕刻繞射圖案,鍍上抗反射膜,可以勝任在高能量或高功率雷射的應用,且可以適合UV-IR各種不同波長的雷射。
注意事項:
- 使用時需搭配特定參數的雷射,如:波長、光束直徑、光束品質(M2),如果參數不同,會影響品質。
- 雷射焦深延伸鏡需高精度的準直,包含中心對位、入射角度、工作距離,都需要精確的調整定位。
- 搭配不同焦距的透鏡使用時,焦點深度會不相同,焦距越長,焦深會越長。
- 加工不同折射率的材料時,焦點深度會不相同,折射率越大,焦深會越長。
- 聚焦光斑尺寸無法小於光學繞射極限(Diffraction Limited Spot Size)。
- 先輸入左方Wavelength(λ)欄裡面的波長、External Focusing Lens欄裡面的聚焦鏡焦距、Refractive index of foci medium欄裡面的加工物件折射係數。
- 右方表格會依據剛輸入的參數列出相關的標準產品。
- Beam Size[mm]: 表示需搭配的入射光束直徑。
- Depth of Focus[um]: 表示焦點深度。



